FREE REPAIR MANUALS & LABOR GUIDES 1982-2013 Vehicles
Courtesy of Operation CHARM: Car repair manuals for everyone.

Repair and Diagnosis: Application and ID




Identification Codes


Vehicle Identification Number (VIN)

Vehicle Identification Number (VIN) Locator





The Vehicle Identification Number (VIN) is a 17-digit combination of letters and numbers. The VIN is stamped on a metal tab riveted to the instrument panel top, upper left of the dash. The VIN is also found on the Vehicle Certification (VC) label. If the VIN plate requires replacement, authorized dealers must contact their respective regional office.










World Manufacturer Identifier (WMI)

The first 3 VIN positions are the world manufacturer code.

- 1LN - Lincoln, USA, passenger car

Restraint Type

The fourth VIN position is the vehicle restraint-type code.

- H - Active safety belts - all positions, driver and front passenger air bags with driver and front passenger side impact protection and air curtains

Vehicle Line and Series

Positions 5 through 7 indicate vehicle line and series.

- L9D - MKS, Front Wheel Drive (FWD)
- L9E - MKS, All-Wheel Drive (AWD)
- L9F - MKS, AWD - Ecoboost(R)

Engine Type

The eighth VIN position is the engine displacement and number of cylinders.

- R - 3.7L, V6, 4-valve
- T - 3.5L, turbo-charged V6, 4-valve

Additional engine information can be obtained from the engine tag. Refer to Engine - 3.7L Engine or Engine - 3.5L GTDI Engine.

Check Digit

The ninth VIN position is a government-assigned, computer-generated check digit.

- 0-9

Model Year

The tenth VIN position is the model year code.

- B - 2011

Assembly Plant

The eleventh VIN position is the assembly plant code.

- G - Chicago (Chicago, Illinois)

Production Sequence Number

The last 6 VIN positions are a numeric code for the vehicle build sequence. This is also the vehicle serial and warranty number. The serial number can also be found on the engine block, transmission and frame.

- 600000-999999


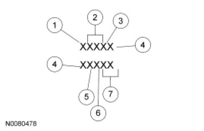
Vehicle Certification (VC) Label

Vehicle Certification (VC) Label Locator





The Vehicle Certification (VC) label contains the manufacturer name, the month and year of manufacture, the certification statement and the Vehicle Identification Number (VIN). It also includes Gross Vehicle Weight Rating (GVWR).

If a vehicle requires replacement of the VC label and is 4 years old or less, an authorized dealer must submit the VIN to their respective regional office. The regional office will submit a web form to the assembly plant for the replacement label. Once the label has been printed, a representative from the regional office will deliver the label to the dealer and witness installation on the vehicle. If a vehicle is more than 4 years old and requires a replacement label, the dealer must submit a request to the Department of Motor Vehicles.










Paint Codes

Vehicle paint codes may be listed as a 2-part code. The first set of paint code numbers/letters listed indicate the vehicle primary body color. The second set of numbers/letters listed (if applicable) indicate a 2-tone or accent body color. All colors are base coat/clear coat.

- FQ - Bordeaux Reserve Metallic
- L6 - Kona Blue
- U6 - Red Candy Tint
- UG - White Platinum (tri-coat)
- UH - Tuxedo Black Metallic
- UJ - Sterling Gray Metallic
- UP - Gold Leaf
- Z6 - Silver Diamond

Interior Trim Codes

The interior trim codes are listed as a 2-part code. The first digit listed indicates the seat and fabric style. The second digit listed indicates the interior trim color.

Trim Codes
- F - Flagship leather
- L - Luxury leather

Interior Trim Color Code
- J - Light Camel Tan
- N - Sienna/Black
- V - Cashmere
- W - Charcoal Black

Tape/Paint Pinstripe Codes

Tape and paint pinstripe codes do not apply.

Radio Codes

The following lists the available radio types and codes:

- 6 - Premium electronic AM/FM stereo with 6-disc CD changer (MP3 capable) and clock
- N - Voice activated navigation system, high-definition AM/FM stereo with CD changer (MP3 capable)

Axle Codes

The following lists the available rear axle ratios.

- 2 - 3.16 ratio
- 3 - 3.39 ratio
- 4 - 2.77 ratio

Additional axle information can be obtained from the axle tag. Refer to Driveline System - General Information Description and Operation.

Transmission Code

The following lists the available transmission types and codes:

- C - 6-speed automatic (6F55)
- J - 6-speed automatic (6F50)

Additional transmission information can be obtained from the transmission tag. Refer to Automatic Transaxle/Transmission - 6F50/6F55 Application and ID.

Spring Codes

Spring codes are listed as a 2-part code. The first set of characters identify the front springs. The second set of characters identify the rear springs.

Front Springs
- AA - Front Wheel Drive (FWD) vehicles
- BB - All-Wheel Drive (AWD) vehicles
- CC - AWD, Ecoboost(R)

Rear Springs
- EE - AWD vehicles
- FF - FWD vehicles
- GG - AWD, Ecoboost(R)


Powertrain Calibration Information





NOTE: Powertrain calibration information is limited to a maximum of 5 characters per line on the VC label. Because of this, calibration identification consisting of more than 5 characters will wrap to the second line on the VC label.

Powertrain calibration information is printed in the lower right corner of the VC label. Only the base calibration information is printed. Revision levels will not appear, however, they can be obtained through a scan tool using the most current software revision.










The following offers a more detailed explanation of the coding strategy used.

Model Year

Model year code indicates the year in which the calibration code was introduced.

- 0 - 2000
- 1 - 2001
- 2 - 2002
- 3 - 2003
- 4 - 2004
- 5 - 2005
- 6 - 2006
- 7 - 2007
- 8 - 2008
- 9 - 2009
- A- 2010
- B- 2011

Vehicle Code

The vehicle code indicates the vehicle line to which the code applies.

- LE - Lincoln MKS

Transmission Code

The transmission code identifies the type of transmission used.

- 1 - Automatic transmission

Unique Calibration

The Emissions/Corporate Average Fuel Economy/CO2 Compliance Department is responsible for assigning these calibration numbers. Unique identifications are assigned to cover similar vehicles to differentiate between tires, drive configurations, final drive ratios and other calibration-significant factors.

These 2 characters are chosen by the analyst to provide identifiable information unique to each calibration. For example, using the number 2 to denote a 2-valve engine versus using the number 4 to identify a 4-valve engine provides an easily identifiable difference.

Fleet Coding

Identifies the fleet to which the vehicle belongs.

- 0 - Certification (U.S. 4K, final sale in export markets)
- 1 - Heavy duty gas engine/Dyno
- 2 - Fast-Automobile Manufacturer's Association, US
- 3 - Alternative durability protocol, U.S.
- 4 - Not assigned
- 5 - Not assigned
- 6 - Evaporative Emission (EVAP)
- 7 - Mileage accumulation, aging endurance durability
- 8 - On-Board Diagnostic (OBD)
- 9 - Not assigned

Certification Region

When instances where multiple regions are included in one calibration, the lead region will be listed.

- 5 - U.S. 50 states
- A - U.S. federal, including altitude, may include Canada and/or Mexico
- B - U.S. California standard, includes U.S. green states
- C - Canada
- D - China
- E - European Community (Austria, Belgium, Denmark, Finland, France, Germany, Greece, Ireland, Italy, Luxembourg, Netherlands, Portugal, Spain, Sweden and United Kingdom)
- F - European Extended Community (E plus Croatia, Czech Republic, Estonia, Hungary, Norway, Poland, Romania, Russian Federation, Slovakia, Slovenia, Switzerland and Yugoslavia)
- G - Gulf Cooperative Council (Bahrain, Kuwait, Oman, Qatar, Saudi Arabia and United Arab Emirates
- H - Hong Kong
- J - Japan
- K - Korea
- L - Malaysia
- M - Mexico
- N - New Zealand
- P - Australia
- Q - South America (Brazil)
- S - Singapore
- T - Taiwan
- U - South America (unleaded fuel regions)
- V - Vietnam
- X - Rest Of World (ROW)
- Y - Military
- Z - Israel

Revision Level (not printed on label)
- 91-99 - Hardware and certification levels
- 01-04 - Preliminary levels
- 00 - Job 1 production (initial certification)
- 05-09 - Pre-job 1 revisions to calibrations
- 10-89 - Post-job 1 revisions to calibrations
- 0B - Durability test level
- BD - On-Board Diagnostic (OBD) intermediate level (pre-05)