FREE REPAIR MANUALS & LABOR GUIDES 1982-2013 Vehicles
Courtesy of Operation CHARM: Car repair manuals for everyone.

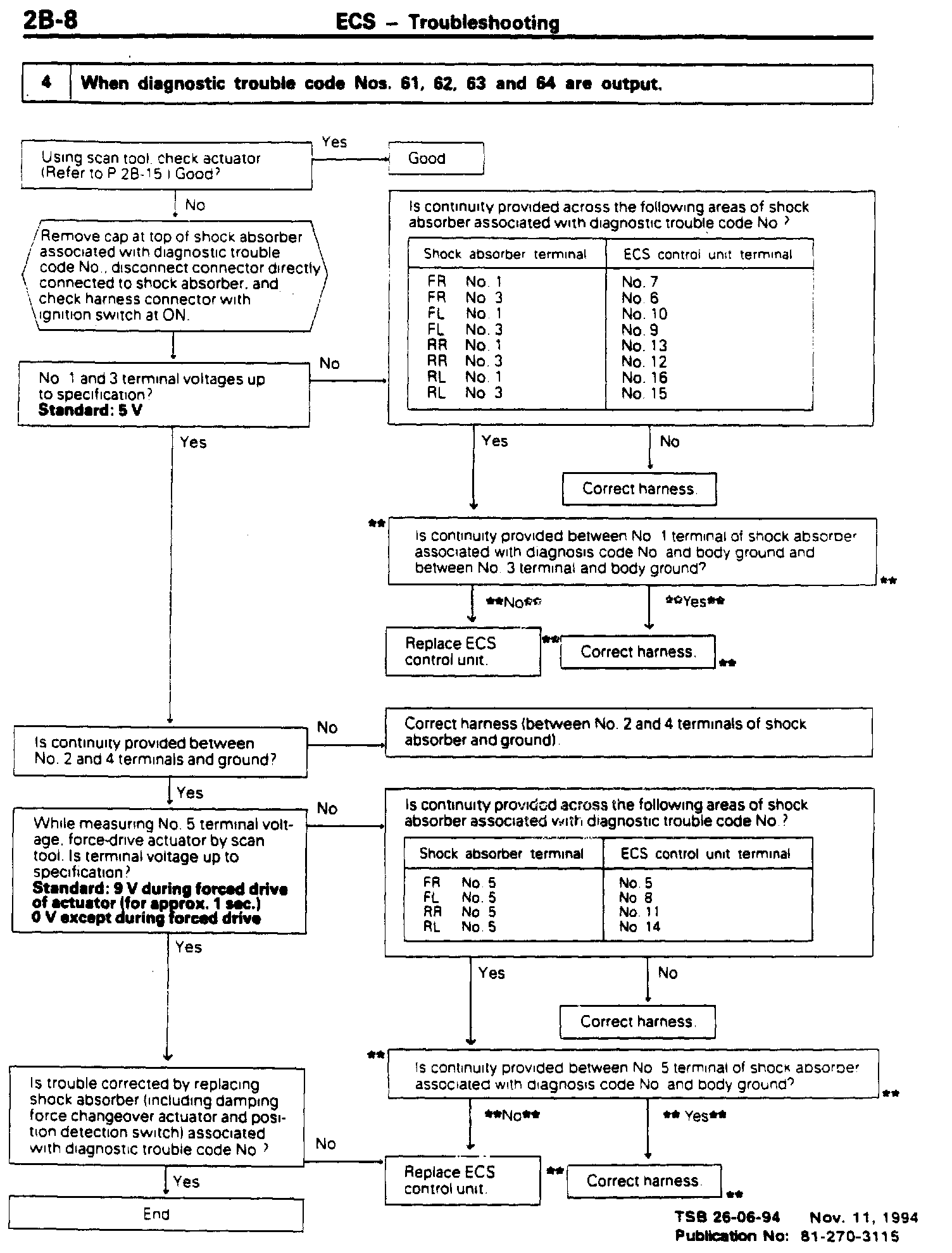
Engine Controls - DTC Test Step Addition

NUMBER: 26-06-94

GROUP: Miscellaneous

DATE: Nov. 11, 1994

REVISIONS ARE HIGHLIGHTED WITH **ASTERISKS**

Models:
1993 Stealth - Publication No. 81-270-3115

GROUP 02 - FRONT SUSPENSION

DESCRIPTION OF CHANGES

Continuity Step Added.





2B-8