FREE REPAIR MANUALS & LABOR GUIDES 1982-2013 Vehicles
Courtesy of Operation CHARM
:
Car repair manuals for everyone.
Home
>>
Dodge
>>
1993
>>
Colt L4-1795cc 1.8L SOHC
>>
Repair and Diagnosis
>>
Powertrain Management
>>
Transmission Control Systems
>>
Testing and Inspection
>>
Symptom Related Diagnostic Procedures
>>
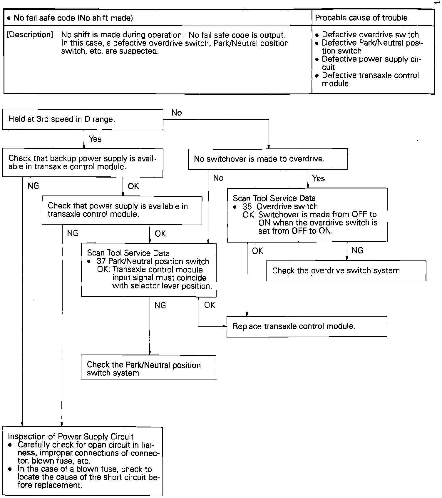
Does Not Shift/No Fail Safe Code
Does Not Shift/No Fail Safe Code