FREE REPAIR MANUALS & LABOR GUIDES 1982-2013 Vehicles
Courtesy of Operation CHARM: Car repair manuals for everyone.

Thread Repair Specifications

Thread Repair Specifications








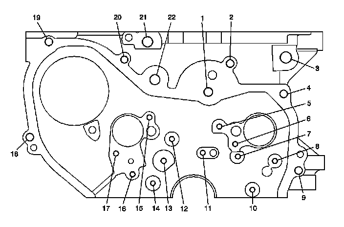
Engine Block - Front View








Engine Block - Back View








Engine Block - Left Side View








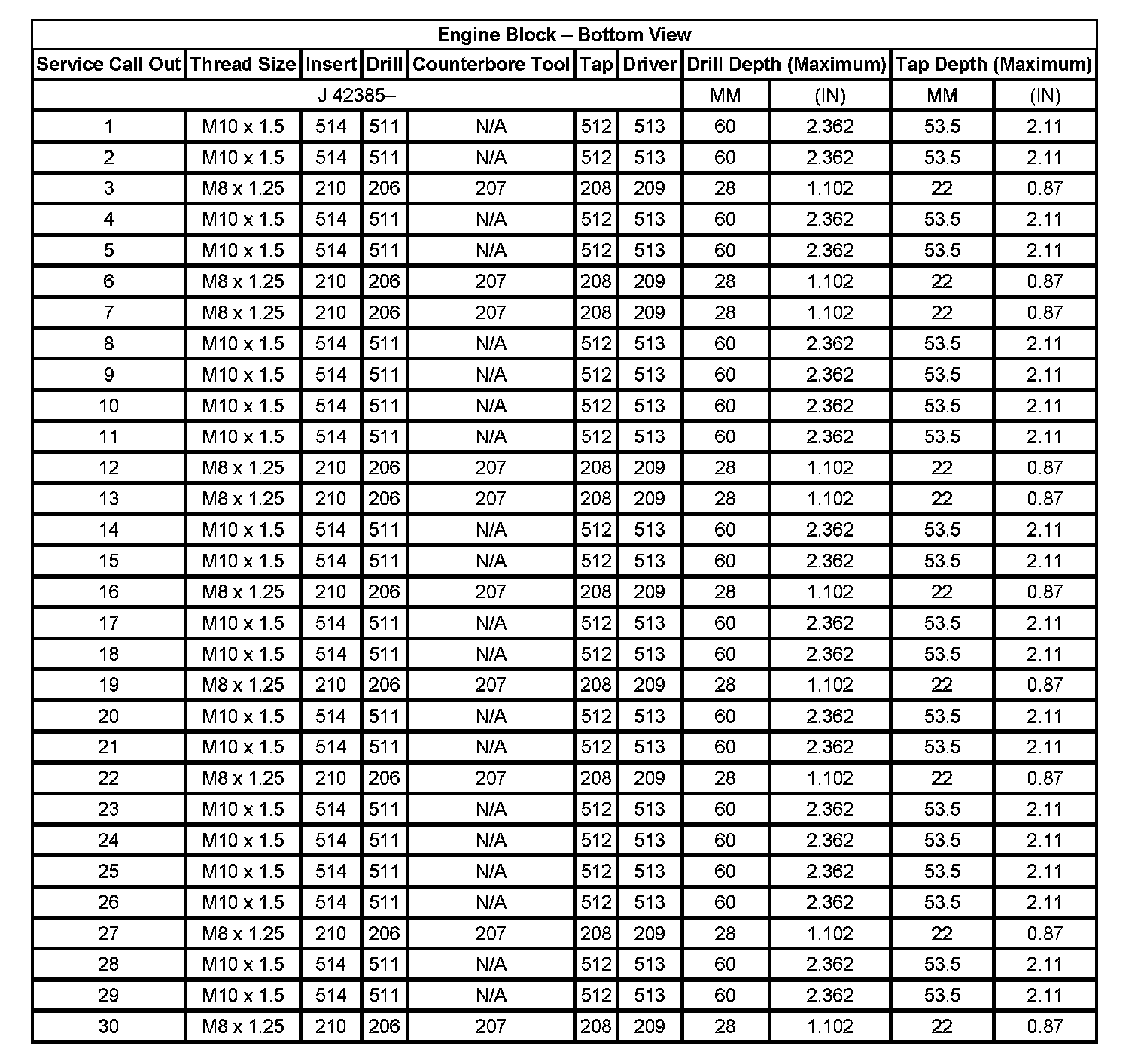
Engine Block - Bottom View








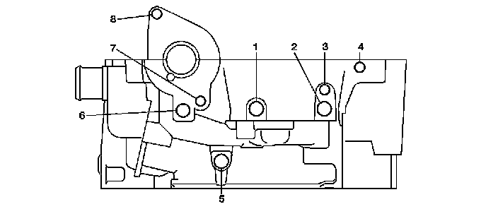
Engine Block - Right Side View








Engine Block - Top View








Lower Crankcase - Front View








Lower Crankcase - Back View








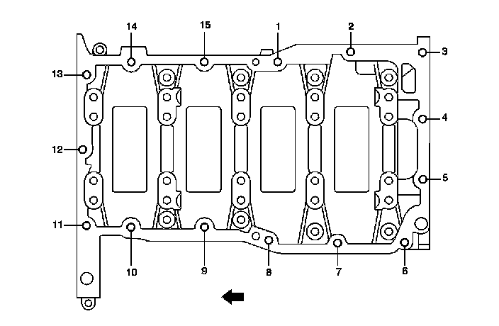
Lower Crankcase - Bottom View








Lower Crankcase - Left View








Lower Crankcase - Right View











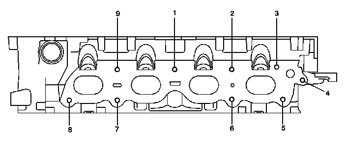
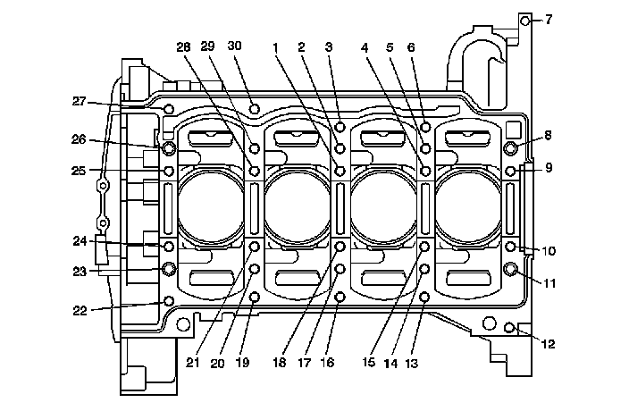
Cylinder Head - Top View








Cylinder Head - Intake Manifold Deck View








Cylinder Head - Exhaust Manifold Deck View








Cylinder Head - Front View








Cylinder Head - Back View








Cylinder Head - Bottom View