FREE REPAIR MANUALS & LABOR GUIDES 1982-2013 Vehicles
Courtesy of Operation CHARM
:
Car repair manuals for everyone.
Home
>>
Ford
>>
2011
>>
Fusion FWD L4-2.5L Hybrid
>>
Repair and Diagnosis
>>
Powertrain Management
>>
Computers and Control Systems
>>
Testing and Inspection
>>
Pinpoint Tests
>>
Test TU: Calculated Torque Error
Test TU: Calculated Torque Error
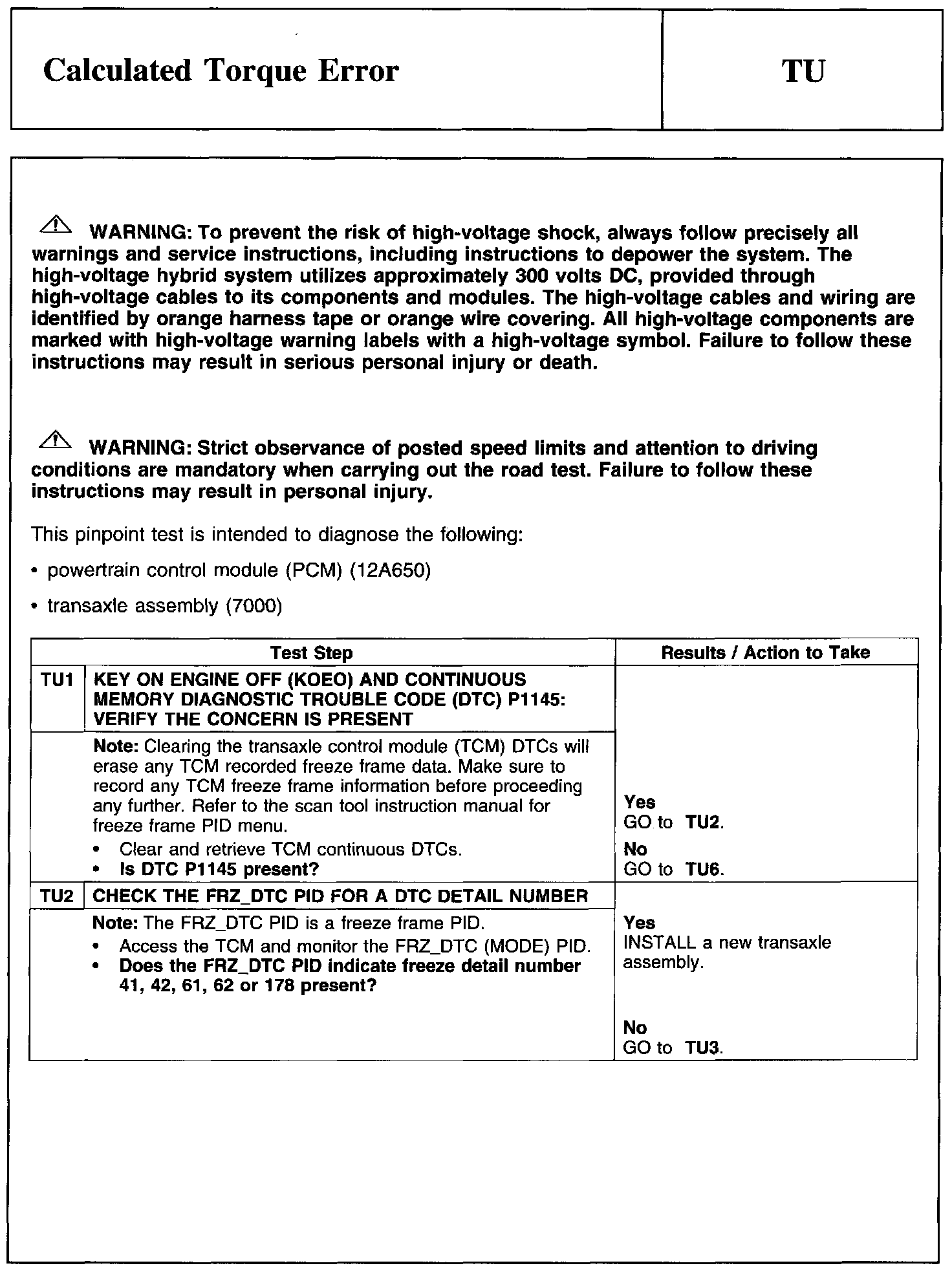
PINPOINT TEST TU: CALCULATED TORQUE ERROR
TU1-TU2:
TU3-TU6:
TU7-TU10:
TU11: